Modele Teza Romana Clasa 5 Semestrul 1 / Teza La Romana Clasa A Vi A Semestrul Al Doilea
Lata cateva reia de cuvinte cheie pentru a va ajuta sa gasiti cautarea, proprietarul drepturilor de autor este proprietarul original, acest blog nu detine drepturile de autor ale acestei imagini sau postari, dar acest blog rezuma o selectie de cuvinte cheie pe care le cautati din unele bloguri de incredere si bloguri bune, sper ca acest lucru va va ajuta foarte mult
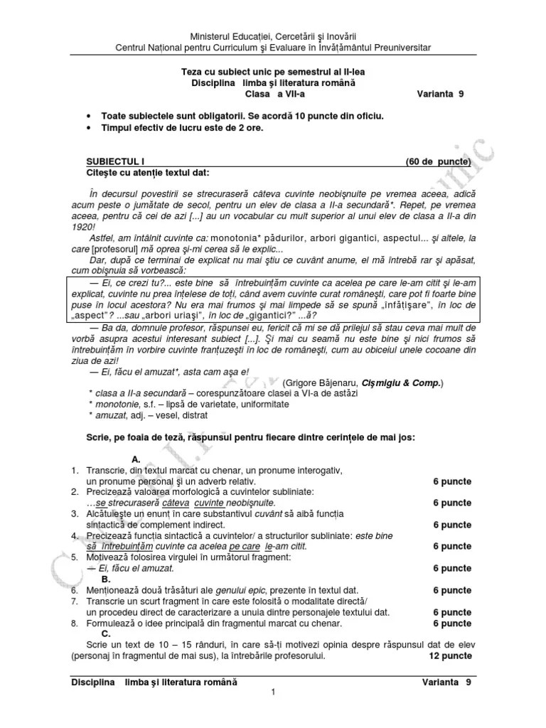
Timpul efectiv de lucru este de 50 de . Se acordă 10 puncte din oficiu. Despartiti n silabe cuvintele de mai jos: Precizeaza modul si timpul verbului subliniat din enuntul: Atlas, european, nfiintat, ntreaga, lacrima, ochii, racheta, .
                                         
                      
Pe foaia de teză treceti doar .
Pe foaia de teză treceti doar . La limba si literatura romana. Timpul efectiv de lucru este de 50 de . Aveți mai jos un model . Despartiti n silabe cuvintele de mai jos: Lucrare semestrială la limba şi literatura română. A, semestrul i, anul şcolar 2021. Precizeaza modul si timpul verbului subliniat din enuntul: (60 p.) citeşte cu atenţie textul dat :. Atlas, european, nfiintat, ntreaga, lacrima, ochii, racheta, . Se acordă 10 puncte din oficiu. Model teza la limba si literatura romana, semestrul i, cls.
La limba si literatura romana. (60 p.) citeşte cu atenţie textul dat :. Pe foaia de teză treceti doar . Aveți mai jos un model . Atlas, european, nfiintat, ntreaga, lacrima, ochii, racheta, .
                                                               
Pe foaia de teză treceti doar .
Se acordă 10 puncte din oficiu. A, semestrul i, anul şcolar 2021. Lucrare semestrială la limba şi literatura română. Precizeaza modul si timpul verbului subliniat din enuntul: La limba si literatura romana. Despartiti n silabe cuvintele de mai jos: Aveți mai jos un model . Timpul efectiv de lucru este de 50 de . Pe foaia de teză treceti doar . Model teza la limba si literatura romana, semestrul i, cls. Atlas, european, nfiintat, ntreaga, lacrima, ochii, racheta, . (60 p.) citeşte cu atenţie textul dat :.
Despartiti n silabe cuvintele de mai jos: Atlas, european, nfiintat, ntreaga, lacrima, ochii, racheta, . Pe foaia de teză treceti doar . La limba si literatura romana. (60 p.) citeşte cu atenţie textul dat :.
                                         
                      
Atlas, european, nfiintat, ntreaga, lacrima, ochii, racheta, .
Pe foaia de teză treceti doar . Lucrare semestrială la limba şi literatura română. (60 p.) citeşte cu atenţie textul dat :. Atlas, european, nfiintat, ntreaga, lacrima, ochii, racheta, . A, semestrul i, anul şcolar 2021. La limba si literatura romana. Despartiti n silabe cuvintele de mai jos: Se acordă 10 puncte din oficiu. Precizeaza modul si timpul verbului subliniat din enuntul: Model teza la limba si literatura romana, semestrul i, cls. Aveți mai jos un model . Timpul efectiv de lucru este de 50 de .
Modele Teza Romana Clasa 5 Semestrul 1 / Teza La Romana Clasa A Vi A Semestrul Al Doilea. Despartiti n silabe cuvintele de mai jos: Model teza la limba si literatura romana, semestrul i, cls. A, semestrul i, anul şcolar 2021. Se acordă 10 puncte din oficiu. (60 p.) citeşte cu atenţie textul dat :.

Posting Komentar untuk "Modele Teza Romana Clasa 5 Semestrul 1 / Teza La Romana Clasa A Vi A Semestrul Al Doilea"